
【虹科方案】 虹科 PCAN Router – CAN FD 通訊與 EE 架構橋接解決方案(POC 驗證)
虹科 PCAN Router 提供 CAN / CAN FD 通訊橋接解決方案,支援跨 EE 架構信號轉換,無需修改 ECU 軟件即可完成 POC 驗證與測試整合,適用於汽車電子、自動駕駛與車載系統開發。
Lorem ipsum dolor sit amet, consectetur adipiscing elit.Ut elit tellus, luctus nec ullamcorper mattis, pulvinar dapibus leo.
Lorem ipsum dolor sit amet, consectetur adipiscing elit.Ut elit tellus, luctus nec ullamcorper mattis, pulvinar dapibus leo.
青島海信日立空調系統有限公司是一家集中央空調系統設計、製造與服務於一體的領導企業。本公司長期深耕變頻多聯機領域,憑藉強大的研發實力與卓越的製造品質,持續引領產業技術發展。

在中央空調產業,運輸和儲存過程中產生的振動、衝擊、溫濕度變化,往往會對設備品質帶來潛在影響。
中央空調產品體積大、結構複雜,在倉儲與運輸過程中容易受到震動、衝擊及環境變化的影響。若這些潛在問題無法及時發現,可能導致外機銅管或鈑金零件斷裂,從而引發退換貨與售後風險。

根據海信日立介紹,單台外機退換成本可高達數萬元,若問題集中暴露,不僅帶來巨大的經濟損失,更會影響品牌形象與市場口碑。
為進一步減少因運輸問題造成的意外損失,技術人員決定依據國家標準GB/T4857.23《包裝運輸包裝件隨機振動試驗方法》設計機組的出海運輸包裝。此標準用於評估包裝在隨機振動下的結構強度、封合可靠性及保護性能。如何監測運輸過程中機組實際受到的振動強度,並判斷是否超出標準要求,成為關鍵問題。

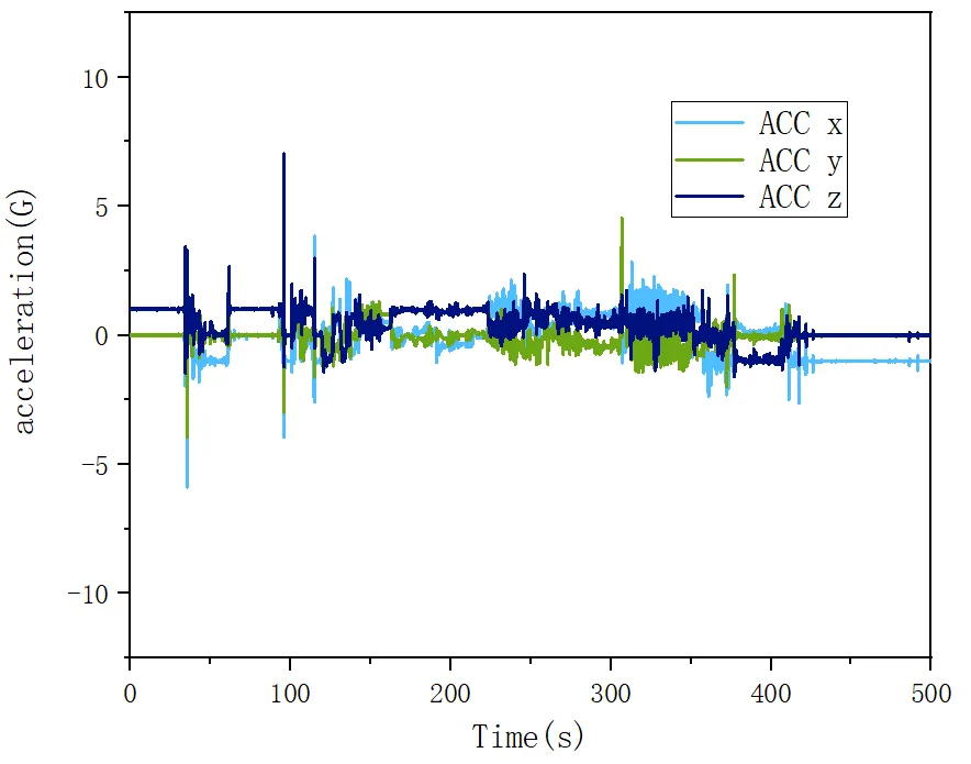
為科學評估並復現運輸過程中的應力情況,海信日立選擇使用虹科MSR165微型衝擊與振動記錄器。該設備具備體積小巧、防水耐用、採樣頻率高、能耗低、續航力長達6個月等優勢,非常適合用於長週期運輸測試。
在實際應用中,工程師將MSR165記錄器固定在中央空調外機底部鈑金位置,全程採集運輸過程中的加速度、溫度、濕度等資料。

海信日立最初透過虹科分享的振動衝擊案例了解到該產品。在比較測試中,團隊發現國產同類設備體積較大、儲存容量小、資料精度不足,無法滿足長期運輸監測的需求。而虹科MSR165振動記錄器以其瑞士製造的高精度、高可靠性、小體積與出色續航性能,最終贏得了海信日立測試團隊的認可。
MSR165微型衝擊與振動記錄器體積僅39×23×72毫米、重量約64克,能在緊湊空間內達到高達1600次/秒的加速度採樣率,分辨率達13位。設備內建高解析度三軸加速度感測器,同時整合多感測器功能,不僅能精確記錄衝擊與振動,還可同步監測溫度、濕度、壓力和光照強度等環境參數。其內建記憶體可保存超過200萬個測量數據,足以支援一萬次以上的衝擊測量,為長週期、高精度的數據採集提供可靠保障。

普通衝擊記錄器往往只能在超閾值時刻記錄短暫的加速度曲線,採樣點有限,難以將時域數據轉換為頻域數據,無法進行功率譜分析。而MSR165振動記錄器以高頻取樣率(最高1600Hz)連續擷取加速度數據,完整保留運輸或測試全過程的原始時域訊號。

虹科MSR165振動記錄器不僅能記錄振動的原始時域數據,還可透過傅立葉變換等演算法產生振動的相位、振幅、功率與功率頻譜密度(PSD)等頻域曲線。
透過與國家標準功率譜要求進行對比,使用者可以定量評估包裝設計的合理性與運輸安全性,從經驗判斷升級為數據驅動的科學決策。這讓MSR165成為實驗室與實際運輸測試之間的橋樑。

面對高頻取樣帶來的大量數據,MSR系列同樣在軟體層面提供了最佳化方案。例如,MSR175採用「超閾值事件記錄」模式,僅記錄超出安全範圍的關鍵數據,避免冗餘訊息,大幅提高數據處理效率。同時配套一鍵式資料分析軟體,使用者可快速產生報告與視覺化曲線,節省後製時間,實現從採集到分析的高效閉環。

身為業界變頻多聯空調系統的領航者,青島海信日立始終堅持以技術創新保障產品可靠性。透過引入虹科MSR165衝擊微型振動記錄儀,海信日立成功建構了一套科學的數據監測體系,實現了對設備運輸環境的精準量化與產品設計的持續優化。
虹科MSR衝擊振動記錄器可為物流運輸、軌道運輸、電力能源、工業自動化等領域提供高精度、可靠的衝擊振動監測解決方案,並已廣泛應用於全球多項基礎設施項目,協助客戶實現從數據感知到深度洞察的跨越發展。
如需了解更多產品詳情或取得類似案例支持,歡迎造訪我們的官網或聯絡技術顧問團隊。

虹科 PCAN Router 提供 CAN / CAN FD 通訊橋接解決方案,支援跨 EE 架構信號轉換,無需修改 ECU 軟件即可完成 POC 驗證與測試整合,適用於汽車電子、自動駕駛與車載系統開發。

虹科高保真 HIL(Hardware-in-the-Loop)仿真解決方案,以 aiSim 模擬平台為核心,支援 L3/L4 自動駕駛測試、多傳感器仿真與 SiL/MiL/HiL 驗證,提供高置信度智能駕駛測試環境,適用於 OEM、Tier1 及自動駕駛科技企業。

隨著歐盟《網絡韌性法案》(Cyber Resilience Act, CRA)逐步落地,產品安全與供應鏈透明度已成為企業進入歐洲市場的強制要求。CRA要求製造商在產品全生命週期內建立安全機制,並提供SBOM、漏洞管理及合規證據。隨著歐盟《網絡韌性法案》(Cyber Resilience Act, CRA)逐步落地,產品安全與供應鏈透明度已成為企業進入歐洲市場的強制要求。CRA要求製造商在產品全生命週期內建立安全機制,並提供SBOM、漏洞管理及合規證據。ONEKEY安全與合規平台協助企業快速完成合規診斷與漏洞管理,建立可追溯、可驗證的產品安全合規體系。